

Manchester
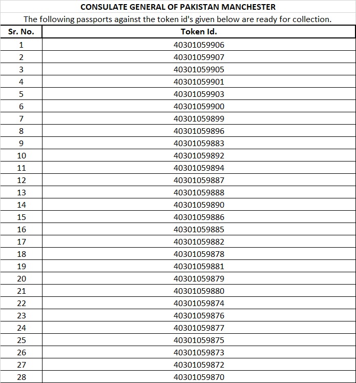
The passports against the following token Id’s are ready for collection at the Consulate General of Pakistan, Manchester from Tuesday, 27th January, 2026.
Collection time is 3:00 pm to 4:00 pm.
Passports will be handed over only on presentation of the original token receipt. Applicants are also requested to bring their original passport, if this is mentioned on the token receipt.

